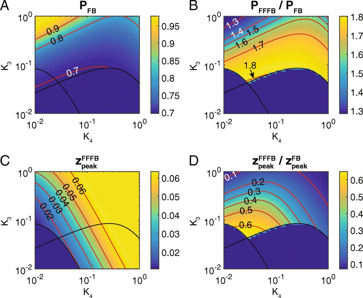
Fig. 5

Comparison of performance metrics of the FB only system with the combined FF/FB system. a Heatmap of the normalized peak, P, for the FB only system. This parameter (and others defined in this figure) is undefined for unstable systems. b Ratio of P for the FF/FB system to that for FB only. According to this metric, the FF/FB system always outperforms the FB only system. However, the metric PFFFB is roughly constant at 0.46, regardless of the values of K3, K4 (see Additional file 1). c Heatmap of the absolute peak, Zpeak, for the FF/FB system and varying values of K3, K4. Note that the absolute peak value is, at best, 0.06. While this is low, it is adequate. d Ratio of the absolute peak for the FF/FB system to that for FB only. According to this metric, the FB only system always outperforms the FF/FB system (ratio less than one). However, given the other performance objectives for which the FF/FB system is superior, this is an acceptable trade-off